목록Power (8)
무지개타고
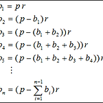
들어가기 전에 아래는 감가상각에 대한 재무회계를 논하는 게 아니라 엑셀 활용을 다룬다. 우연하게 감가상각 계산법을 귀동냥했는데 원값에서 앞서 구한 값을 뺀 후 일정 값을 반복적으로 곱해주는데 다람쥐 쳇바퀴 도는 모양새다. 위처럼 정리를 해놓고 보니 고등학교 때 배운 등비수열이 생각나네. 어떻게든 등비수열의 일반항을 찾아내야 하는 분위기?? 그래서 이리저리 전개도 해보고 인수분해도 해보는데 계속 뭔가가 어긋난다. (나중에 생각하니 빼기 부호가 왔다갔다 하며 계속 헷갈리게 만들었다.) 어쨌든 찾아낸 일반항~ ②를 주위 깊게 봐야 한다. 일반항도 찾았으니 이젠 등비수열의 합도 찾아야겠지~ 이렇게 일반항과 합 공식도 찾아서 간단한 예제에 적용하면 f6 ②감가상각비(b) =IF($B6=1,$C$2*$C$3,($C..
오튜에 올라온 질문인데... 언제나 처럼 내 맘대로 정리해 봤다. 이때 조건은 대충 이렇다. '값' 필드에서 '10 초과'하는 목록만 빈도를 구하려 한다는 것. 이와 유사한 처리를 언제 한번 훑어봤는데... 그런데 추가된 조건이 생각만큼 만만하지 않고, 그 전 수식에 계륵도 많고 해서 수식을 다시 구하면... 집계① 은 조건이 고려되지 않은 상태에서 유일 목록을 구성한 것이다. 그리고 집계② 는 조건이 반영된 유일 목록을 '빈도'순으로 나열한 것이다. g3 셀 (집계① 구분) =INDEX($A$2:$A$20,MATCH(0,COUNTIF(G$2:G2,$A$2:$A$20),0)) j3 셀 (집계② 구분) =IF(SUM(N((FREQUENCY(MATCH($A$2:$A$20,$A$2:$A$20,0),MATCH(..
일전에 한번 다룬 수식이다. 그런데 다시 훑어보니 계륵이 있었서 조금 손 봤다. e2 셀 (빈도) =SUM((T(OFFSET($A$1,MMULT((MMULT((ROW($A$2:$A$11)>=TRANSPOSE(ROW($A$2:$A$11)))*TRANSPOSE(($A$2:$A$11"")*ROW($A$2:$A$11)),(ROW($A$2:$A$11)>=TRANSPOSE(ROW($A$2:$A$11)))*1)>0)*1,POWER(ROW($A$2:$A$11),0)),0))=TRANSPOSE($D$2:$D$3))*1) f2 셀 (합) =SUM((T(OFFSET($A$1,MMULT((MMULT((ROW($A$2:$A$11)>=TRANSPOSE(ROW($A$2:$A$11)))*TRANSPOSE(($A$2:$A$11"")*..
한국전력공사가 전기요금을 조정하겠단다. - 전기 적게 쓰는 가구, 요금 많이 오른다. 아마도 누진제의 취지가 약해지는 쪽으로 추진하려나 보다. 별개 다 상위 1%를 위한 정책으로 나타나고 있다. -_- 기사에 나온 자료와 한전의 전기요금표를 참고해, 엑셀을 이용해 전기료를 계산해 봤다. ※ 주의 : 계산 과정에 오류가 있을 수 있습니다. f9 셀 (평균) =SUMPRODUCT(E3:E8,F3:F8) f10 셀 (표준편차) =SQRT(SUMPRODUCT(POWER(F3:F8-F9,2),E3:E8)) '주택용전력(저압)'을 기준으로 계산하려는데... 전기요금은 누진제로 계산하기에 단순 가감승제만으로는 원하는 결과를 얻을 수 없다. 그래서 좀 복잡한 수식이 요구된다. i3 셀 (기본요금) =INDEX($C$3..
얼마 전 오피스튜터에 올라온 질문인데, 오픈오피스(OpenOffice)의 캘크(Calc)를 이용해 겹치는 시간을 단일로 처리한 총소요시간을 구해볼까 한다. d2 셀 (소요시간) =N(B2>C2)+C2-B2 그러고보니 이와 유사한 시간 계산을 예전에 한번 검토한 적이 있다. 그때 작성한 수식을 재활용해도 될거 같다. 단지 집계 양식이 별도로 있지 않고, 그땐 엑셀로 수식을 작성했으나 여기선 캘크로 처리한다는게 차이점 이랄까. g3 셀 (IF) =TIME(0;SUM(IF(MMULT(IF(TRANSPOSE($A$2:$A$15=F3)*(IF(TRANSPOSE($B$2:$B$15)TRANSPOSE($C$2:$C$15);1;0))>TIME(0;ROW($A$1:$A$1440)-1;0);1;0));1;0);POWER(..
얼마 전 오픈오피스3.1이 출시되었다니, 새 버전으로 업데이트 해주고 간단한 문제(?)를 풀어보려 한다. 아래 12개의 산 중 내가 오른 산은 8개이고, 그 높이의 총합은 11,029m 이다. 어느어느 산을 올랐는지 찍어 보시오. 뜬금 없는 문제 같지만, 생각 만큼 어렵진 않다. 예전에 조합을 구하는 수식을 만든 적이 있는데, 이를 이용해 보면... 우선 총 조합의 경우의 수 2^12 만큼 조합을 구한다. 원래는 12C8 만큼의 조합만 있으면 되지만 밑천이 딸려, 이 수식은 아직 완성하지 못 했다. i2 셀 =N(MOD(ROW($A1)-1;POWER(2;COLUMN(A$1)))+1
이미 거짓과 오용으로 얼룩진 학업성취도 전수조사이고 뒷북이지만... 그래도 결과를 한번 보자. 그림이 상당히 작게 보이는데... 교육과학기술부 홈페이지에 가면 보도자료에서 찾을 수 있다. 이중 기초학력 미달 분포를 나타내면... 중학교에서 기초학력 미달 분포가 높게 나타났다. 그런데 보도자료에 따르면, 이 원인을 "그동안 지속된 하향평준화 정책의 결과로 추정" 하고 있다는 것. 은연중 고교 평준화에 독박을 씌우려 하는데... 어느 나라의 어떤 정부가 하향평준화 정책을 펼칠까? 그리고 만약 그동안의 교육 정책 때문에 학업성취도가 하향평준화됐다면, 교과부는 당연히 옷 벗어야 하는거 아니야!!! 그리고 초등학교는 왜 하향평준화 정책(?)이 안 먹힌거야? 유인촌의 전문용어를 또다시 빌려오면 'C8, 성질 뻗쳐서..
오피스튜터의 엑셀나눔터에 올라온 질문인데, 곱하기의 합을 구한단다. 초등학교 2학년이면 배우는 곱하기를 몰라서가 아니라, 별도 계산 열(E,F)을 이용하지 않고 바로 구하고 싶다는게 문제. 즉 한방(?)에 구하는 수식이 필요하다는 얘기. 그리고 참조하는 열이 많기에 A×B×C 구조는 아니었으면 한다는 덧붙임까지... 내가 이해하기론 질문은 대충 그랬다. 재밌는 질문이라 여기고 생각해봤다. 몇번을 떠들어온 '더하기'의 연장선에 있어 보였기 때문인데... 하루가 가고 이틀이 가도 떠오르질 않네... -_-;; 될거 같은데... -_-a 그러다 우연찮게 딴짓하다 떠올랐다. 힌트는... 아마 고등학교 1학년 쯤에 배웠던 것으로 여겨지는 로그와 지수. 통계에서는 승법모형을 다룰 때 애용되는 방법인데, 이를 며칠씩..